검색 바로가기
본문 바로가기
용어목록
용어제안
공지사항
소개
통합검색
통합검색
용어사전
시사상식
TTA표준
기타
국립국어원
완전 일치
부분 일치
시작 단어
끝단어
색인
ㄱ
ㄴ
ㄷ
ㄹ
ㅁ
ㅂ
ㅅ
ㅇ
ㅈ
ㅊ
ㅋ
ㅌ
ㅍ
ㅎ
0~9
A
B
C
D
E
F
G
H
I
J
K
L
M
N
O
P
Q
R
S
T
U
V
W
X
Y
Z
용어사전
인쇄
수정 문의
관련뉴스
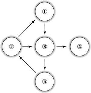
방향 그래프, 方向-, directed graph
정점간의 연결선이 방향을 갖고 있는 그래프. 반대로 정점간의 연결선이 방향을 갖고 있는 않는 그래프를 무방향 그래프(undirected graph)라 한다.