- AOV 네트워크, Activity On Vertex Network, AOV network
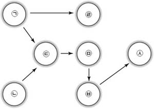
- 정점이 작업을 나타내고 그 간선이 작업간의 우선 순위 관계를 나타내는 방향 그래프. 주목적은 위상적 순서(topological order)를 찾아내는 것이며, 이 때문에 순차적 작업을 요하는 부품 조립(선박, 비행기) 등의 분야에서 많이 응용되고 있다.선행자(predecessor)란 어떤 작업을 하기 전에 해야 하는 작업을 말하는데, 위의 그래프의 경우 ㉣작업을 하기 전에 ㉠작업을 먼저 해야 하고, ㉤작업을 하기 전에 ㉠,㉡,㉢작업을 먼저 해야 한다. 이 때 ㉢작업은 ㉤작업의 즉각 선행자(immediate predecessor)라고 한다. 후행자(successor)란 어떤 작업 다음에 해야 할 작업을 의미하고, 예를 들면 ㉢작업을 한 후엔 ㉤,㉥,㉦작업을 해야 한다. 이 때 ㉤작업은 ㉢작업의 즉각 후행자(immediate successor)가 된다.


